Double Square Pendulum - numerical model

The diagram below shows the geometry of the model. The points O and P are the two pivot points. The pendulum rotates in the plane of the figure.

[Square compound double pendulum]

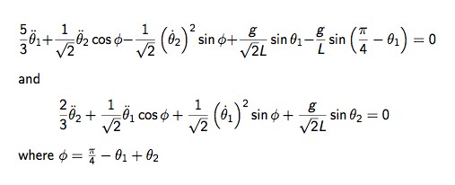
The equations of motion may be determined from the Lagrangian. The kinetic energy of the device is the sum of the translational kinetic energy of the centre of mass of each plate, and the rotational kinetic energy of each plate about its centre of mass. The potential energy is equivalent to that of two point masses at the locations of the centre of mass of each plate. The equations of motion (for equal mass plates) are: [Square compound double pendulum]
and where g denotes the acceleration due to gravity. The equilibrium configuration is obtained by setting the time derivatives to zero. This leads to

which has four solutions, only one of which corresponds to a stable equilibrium configuration. The stable equilibrium is when the diagonal of the top plate is angled by about 26.6 degrees, and the bottom plate hangs straight down. (It is easy to confirm that this implies zero net torque about the two pivot points.)

The equations may be rewritten as four coupled first order ODEs, and then numerically solved using standard methods. It is helpful to non-dimensionalise by scaling time in units of the square root of L over g. The C code used to solve the equations is here. The method of integration is fourth order Runge-Kutta. No explicit checking on accuracy is performed, but the energy is calculated at each time step.

The equilibrium configurations provide simple checks on the implementation of the equations. The movie on the left below shows the system evolved starting at the stable equilibrium in which the diagonal of the top plate is angled by about 26.6 degrees, and the bottom plate hangs straight down. The movie at right below shows one of the unstable configurations, which is the inverted version of the stable configuration. The numerical solution reveals the instability - the top plate falls down eventually.

Animated gif (2MB) Animated gif (2MB)
The device in the School of Physics differs from this simple model in a number of ways. First, there is friction in the axles. Also, the wheel and axle attached to the top plate, and the axle joining the plates are both quite large, so they alter the mass and location of the centre of mass of each plate. Finally, the device in the School of Physics also has the axles located some distance in from the corners of the squares. In principle all of these things could be incorporated into a more detailed model (at the expense of simplicity!).

Main page on the double square pendulum
Dynamics 1: Poincare sections and animations for low energy
Dynamics 2: Poincare sections and animations for intermediate energy
Dynamics 3: Poincare sections and animations for high energy
Images and videos of the device
Simple double pendulum page
Mike Wheatland's home page


Page maintained by m.wheatland (at) physics.usyd.edu.au Page last updated Tuesday, 5-Aug-2008